Mikolai-Alexander Gütschow
June 15, 2023




Photo by Benjamin Suter at Unsplash
Photo by Austrian National Library at Unsplash
Photo by Karsten Würth at Unsplash


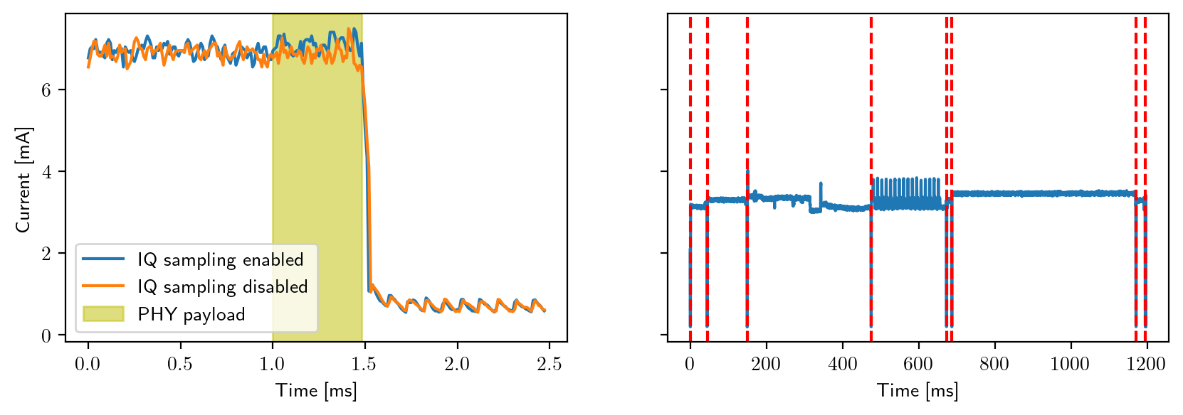
AoDADDRESS event




| Device Type | Tx | Rx | Amount | Tag | Year (approx.) |
|---|---|---|---|---|---|
| nRF52833 DK | X | 1 | 2023 | ||
| nRF52840 DK | X | 8 | dk* |
2020 | |
| nRF52840 Dongle | X | 8 | dongle* |
2020 | |
| Thunderboard Sense 2 | X | 8 | gecko* |
2019 | |
| Tmote Sky | X | 8 | sky* |
2009 |




\(N_\textrm{trees} = 40, N_\textrm{train} = 20\)

| precisionmacro | 90.9244 |
| recallmacro | 90.9392 |
| accuracy | 90.9499 |
| precisionwc | 53.5789 |
| recallwc | 49.7886 |
\(N_\textrm{trees} = 20, N_\textrm{train} = 160\)

| precisionmacro | 92.6734 |
| recallmacro | 92.6893 |
| accuracy | 92.7005 |
| precisionwc | 57.6835 |
| recallwc | 54.2184 |
\(N_\textrm{trees} = 20, N_\textrm{train} = 160\), reduced dataset

| precisionmacro | 99.0599 |
| recallmacro | 99.0564 |
| accuracy | 99.0567 |
| precisionwc | 92.7294 |
| recallwc | 92.4411 |

| Delay [ms] | Energy [μJ] | ROM [B] | RAM [B] | |
|---|---|---|---|---|
| Frame Reception | 0.5 | |||
| Feature Extraction | 1192.6 | |||
| Classifier | 0.4 |
| Delay [ms] | Energy [μJ] | ROM [B] | RAM [B] | |
|---|---|---|---|---|
| Frame Reception | 0.5 | 10.3 | ||
| Feature Extraction | 1192.6 | 11895.5 | ||
| Classifier | 0.4 | 2.7 |
| Delay [ms] | Energy [μJ] | ROM [B] | RAM [B] | |
|---|---|---|---|---|
| Frame Reception | 0.5 | 10.3 | 682 | 15200 |
| Feature Extraction | 1192.6 | 11895.5 | 106465 | 63168 |
| Classifier | 0.4 | 2.7 | 210373 | 0 |